[선형대수학] Linear Equations in Linear Algebra
인프런 - 선형대수학
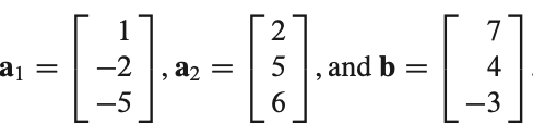
Linear equation 예시 : Ax = b
A system of linear equations = 선형방정식의 시스템(선형시스템, 선형함수)
Linear - 선형
equation - 방정식
solution set - 해의 집합
equivalent - 동치. 두 방정식이 동일한 solution set을 가는 경우.
inconsistent - 해가 없다. 해가 무한이 많다.(기하학적으로 그래프가 겹치는 경우)
consistent - 해가 있다.
coefficient - x의 계수(=A)
coefficient matrix - 계수로만 표현된 행렬
augmented matrix - (증강행렬)계수행렬에 b를 추가한 행렬(계산의 편의성 증가)
scaling - 행에 크기를 곱하는 행위
replacement - 행과 행을 scaling 하여 더하는 개념.
interchange - 행렬에서 계산의 편의를 위해 행의 순서를 변경하는 행위
row equivalent - 행 동치. 행렬의 모든 행이 동일한 해의 집합을 가진다. consistent 하다.
nonzero row, column - 0으로만 이루어지지 않은 행, 열
A leading entry of row : the leftmost nonzero entry. 행에서 0이 아닌 가장 왼쪽의 원소(계수)
Echelon form(에셀론 폼) :
1) nonzero 행이 맨 아래 있다.
2) leading entry가 위 행보다 오른쪽에 있다.

Reduced echelon form : Echelon form 의 조건 포함. 행렬의 Reduced echelon form은 유일하다. 하나의 형태만 존재한다.
3) 각 행의 leading entry 의 값이 1 이다.
4) leading entry의 열 0 이다.
pivot position : position of leading entry

Reduced echelon form : 만들기
첫 행은 pivot column 이다. interchange, replacement 을 반복해서 만든다.
다른 행도 동일한 작업을 반복한다.
echelon form이 완성된다.
마지막 행의 leading entry를 1로 scalling 한다.
그리고 위 행을 interchange, replacement 를 반복하여 leading entry를 1로 만든다. 반복한다.
basic(leading) variables : 기저 변수
free variables : 방정식(해)에 영향을 주지 않는 변수. (선형 의존)
해의 존재와 유일

해(solutions)가 존재한다면 ~
free variables : 있으면 해가 무한하다.
free variables : 없으면 해가 유한하다.
vector equations : 벡터 방정식
vector : 열 벡터를 기본으로 한다. 행 벡터는 열 벡터의 transpose 로 표현
벡터의 연산 조건
벡터와 벡터의 덧셈
교환 법칙.
벡터와 스칼라 곱(합은 안된다!)
교환 법칙, 분배 법칙
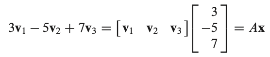
Linear Combinations : 선형 결합
백터) Rn = [ v1, v2, ..., vp]
스칼라) c = (c1, c2, ..., cp) -> weights 가중치


span? 아래 문장은 같은 의미 이다.
is a vector b in span?
dose the following vector wquation have a solution?
dose the following augmented matrix have a solution?

THE MATRIX EQUATION : Ax = b
A = 계수, 가중치, weight
x = 정의역.



Existence of Solutions
The equation Ax = b has a solution if and only if b is a linear combination of the columns of A.

Properties of the Matrix–Vector Product Ax

SOLUTION SETS OF LINEAR SYSTEMS
Homogeneous Linear Systems : trivial solution 을 포함한 해가 존재 하는 선형 함수. Ax = 0
trivial solution : 해가 0인 경우. (하찮은 해...)
nontrivial solution : trivial solution 외 다른 해
(NonHomogeneous)Ax = b 의 해가 존재 할 때(consistent)
그리고 p 벡터가 하나의 솔루션일 경우
Ax = b 해의 집합이 w = p + vh 로 표현된다.
vh 는 Ax = 0 (Homogeneous)의 임의의 해이다.
호모지니어스의 임의의 해를 알면 넌호모지니어스의 방적식의 해(w = p + vh)를 표현할 수 있다.
기하학적으로 해석


Linearly independent 선형 독립
if and only if : 필요충분 조건.


선형 종속 셋의 특징 : 벡터가 다른 벡터로 표현이 가능하다.(예시. x1 = 2*x2)

좌) 선형 의존.
우) 선형 독립으로 인해 span을 벗어난다.

사고를 확장해보자. 네이버 부스트캠프에서도 설명했다.
특징(열)보다 엔트리(행)이 많으면 선형 독립 이다.
예시: 이차원에서 선형독립인 2개의 벡터의 Span은 2차원 전체 이다. 그러므로 3번째 벡터부터는 무조건 선형의존이다.

0벡터가 포함될 경우 선형 의존이다.


INTRODUCTION TO LINEAR TRANSFORMATIONS

선형 독립의 경우만 생각한다.
domain : 정의역
codomain : 공의역
range : 치역



Onto(전사함수) : 공의역==치역
One-to-one(1대1 함수) : 정의역 개수 == 공의역 개수





정리4를 참고.
