개발/수학
[선형대수학] Determinants 행렬식
jykim23
2023. 10. 25. 17:37
728x90
출처 : 인프런 선형대수
행렬식 := 행렬의 역행렬 존재를(=해의 존재) 판별하는 식
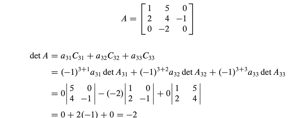
3.1 Introduction to Determinants
Invertible : 행렬식이 0 이 아닌경우 역행렬이 존재한다.
invertible matrix : echelon form의 모든 row에 pivot이 존재해야한다.
echelon form의 각 pivot이 0이 아니면 invertible을 증명 할 수 있다.




요약 : cofactoer로 행렬식을 구하면 비효율적이다.
3.2 Properties of Determinants
작성중.
728x90