728x90
출처 : 인프런 선형대수
행렬식 := 행렬의 역행렬 존재를(=해의 존재) 판별하는 식
3.1 Introduction to Determinants
Invertible : 행렬식이 0 이 아닌경우 역행렬이 존재한다.
invertible matrix : echelon form의 모든 row에 pivot이 존재해야한다.
echelon form의 각 pivot이 0이 아니면 invertible을 증명 할 수 있다.




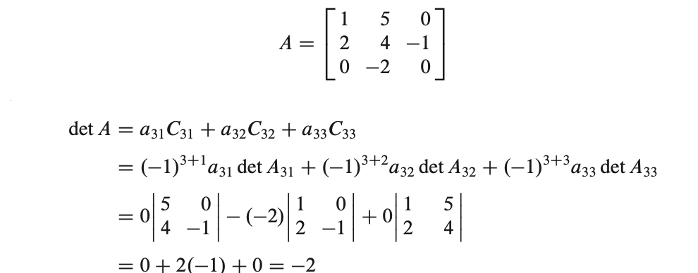
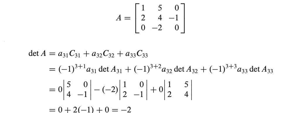
요약 : cofactoer로 행렬식을 구하면 비효율적이다.
3.2 Properties of Determinants
작성중.
728x90
'개발 > 수학' 카테고리의 다른 글
| [선형대수] 선형결합, 선형독립과 선형종속 (0) | 2024.03.07 |
|---|---|
| [선형대수] 선형방정식과 선형시스템 (0) | 2024.03.05 |
| [선형대수학] 고유값 분해(Eigendecomposition) (0) | 2023.10.18 |
| [선형대수학] 대각화 Diagonalization (0) | 2023.10.18 |
| [Bayes Theorem] 베이즈 정리 연습 (0) | 2023.10.17 |